Rectangle, Height H, Width W
Circle, Diameter D
Triangle, Height H, Width/Base W
Curved Triangle, Height H, Width/Base W, % Curvature (C)
Rectangle with Half Circle Attached, total Heigh H, Width/Diameter W/D
if h > R
Power curve y=a*x^p, total Height H, Width W
Ellipse
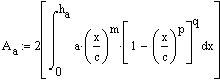
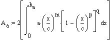
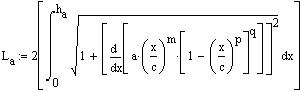
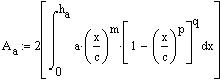
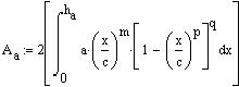
airfoil shape: Y = Aa*((x/c)^m)*((1-((x/c)^p))^q)
Summary:

Rectangle Circle Triangle Curved Triangle Rect/Circle Parabola
Ellipse NACA Airfoil